在原子、分子和凝聚态物质结构计算中,原子核通常被看作点粒子。实际上原子核是有结构的,其电荷分布在有限大小范围内。原子核有限大小的电荷分布与点粒子之间的物理结果差异通常被称之为核体积效应(Finite-nuclear-size ,简写为FNS)。FNS效应修正的精确计算在原子物理领域乃至基础物理研究领域都是一个很重要的课题,对进一步认识原子、分子和凝聚态物质结构有重要意义。
FNS效应修正精确计算的关键在于原子核电荷密度的理论描述。近年来,协变密度泛函理论(CDFT)在研究核结构和反应动力学方面取得了重大成功,它适用于从轻核区到超重核区的几乎所有原子核,已经成为原子核结构领域最成功的微观理论方法之一。BG大游李剑教授团队以CDFT为基础,采用相对论连续谱Hartree-Bogoliubov(RCHB)理论,并从核子电磁形状因子出发,考虑单质子和中子自身具有的分布以及自旋轨道密度的贡献,更准确地构建出了原子核的电荷密度。该理论很好解释了氢离子结合能和g因子的FNS效应,与弹性电子散射实验观测到的电荷密度分布符合很好。
近日,李剑教授团队研究比较了RCHB理论与其它电荷分布经验模型FNS修正效应,探讨其中的核效应。结果表明,重核中电荷分布的影响是不可忽视的;重核中微观的电荷分布比经验模型能给出更准确的结果;随着核电荷数Z的增加,FNS修正的占比逾显著,对能量和g因子的贡献逾大。相关研究结果以Finite-nuclear-size effect in hydrogenlike ions with relativistic nuclear structure为题,于4月10日发表在物理学领域重要期刊Physical Review A上。

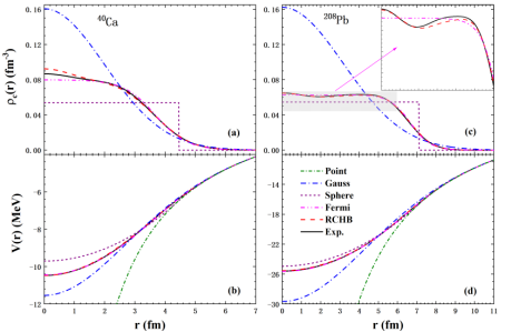
图一:理论电荷密度(RCHB和部分经验电荷分布模型)和实验结果对比,以及相应的静电势的比较。图中红色虚线为RCHB理论给出的结果,黑色实线为弹性电子散射实验给出的结果。 |
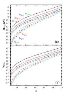
图二:FNS修正对能量和g因子的贡献 |
近年来,原子核效应(包括核体积效应和量子效应等)已成为电子结构研究中的重要热点,该工作对原子、分子和凝聚态物质结构中的原子核效应研究具有重要的理论指导意义。该研究由BG大游官方网站李剑教授、焦利光副教授和台北中央研究院原子与分子科学研究所Yew Kam Ho教授合作完成,第一作者为BG大游原子核科学与技术中心2021级博士研究生谢辉辉,通讯作者为李剑教授和BG大游理论物理中心焦利光副教授。
论文链接:
https://link.aps.org/doi/10.1103/PhysRevA.107.042807